Specific Gravity for a Solids Slurry Formulae and Calculator

The specific gravity of a solids slurry is a critical parameter in various industrial processes, including mining, wastewater treatment, and chemical engineering. It is defined as the ratio of the density of the slurry to the density of water. Accurate calculation of specific gravity is essential for designing and optimizing systems, ensuring efficient operation and safety. This article provides an overview of the formulae and calculations involved in determining the specific gravity of a solids slurry, along with a handy calculator to simplify the process. Understanding and applying these concepts is vital for effective slurry management.
- Understanding Specific Gravity for a Solids Slurry Formulae and Calculator
- How to calculate specific gravity of a slurry?
- How to calculate specific gravity of solids?
- What is the formula for the density of a slurry?
- What is the specific gravity of pulp slurry?
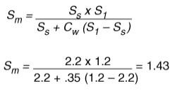
-
Frequently Asked Questions (FAQs)
- What is the Specific Gravity for a Solids Slurry Formulae and Calculator?
- How to Calculate the Specific Gravity of a Solids Slurry using the Formulae and Calculator?
- What are the Applications of the Specific Gravity for a Solids Slurry Formulae and Calculator?
- What are the Limitations and Assumptions of the Specific Gravity for a Solids Slurry Formulae and Calculator?
Understanding Specific Gravity for a Solids Slurry Formulae and Calculator
The concept of specific gravity is crucial in various fields, including engineering and chemistry, as it helps in understanding the properties of substances. When dealing with a solids slurry, calculating the specific gravity is essential for determining the concentration and density of the mixture. A solids slurry is a mixture of solid particles and a liquid, and its specific gravity can be calculated using specific formulae. The calculator for specific gravity takes into account the weight and volume of the solid particles and the liquid.
Definition of Specific Gravity
Specific gravity is defined as the ratio of the density of a substance to the density of water at a given temperature. It is a dimensionless quantity and is an important property of substances. The specific gravity of a solids slurry can be calculated using the following formula: SG = (ρs / ρw), where SG is the specific gravity, ρs is the density of the slurry, and ρw is the density of water.
Formulae for Calculating Specific Gravity
The formulae for calculating the specific gravity of a solids slurry involve the weight and volume of the solid particles and the liquid. The following formula can be used: SG = (Wd / (Wd - Ww)), where Wd is the weight of the dry solid particles and Ww is the weight of the water. Another formula is: SG = (Vd / (Vd + Vw)), where Vd is the volume of the dry solid particles and Vw is the volume of the water.
Importance of Specific Gravity in Solids Slurry
The specific gravity of a solids slurry is important in various applications, including mining, chemical processing, and wastewater treatment. It helps in determining the concentration and density of the mixture, which is essential for efficient processing and treatment. The specific gravity also affects the viscosity and pumpability of the slurry.
Calculator for Specific Gravity
A calculator for specific gravity can be used to calculate the specific gravity of a solids slurry. The calculator takes into account the weight and volume of the solid particles and the liquid. The following table shows an example of a calculator for specific gravity:
| Weight of Dry Solid Particles (Wd) | Weight of Water (Ww) | Specific Gravity (SG) |
|---|---|---|
| 100 kg | 50 kg | 1.5 |
| 200 kg | 100 kg | 1.8 |
The calculator can be programmed to use the formulae mentioned earlier to calculate the specific gravity.
Applications of Specific Gravity in Solids Slurry
The specific gravity of a solids slurry has various applications, including mining, chemical processing, and wastewater treatment. It is used to determine the concentration and density of the mixture, which is essential for efficient processing and treatment. The specific gravity also affects the viscosity and pumpability of the slurry. In mining, the specific gravity is used to separate minerals based on their density. In chemical processing, the specific gravity is used to determine the concentration of chemicals in a solution. In wastewater treatment, the specific gravity is used to determine the density of sludge and scum. Understanding the concept of specific gravity is essential for efficient processing and treatment of solids slurry.
How to calculate specific gravity of a slurry?

To calculate the specific gravity of a slurry, you need to understand the concept of density and how it relates to the solids and liquids in the mixture. The specific gravity of a slurry is the ratio of its density to the density of water. This calculation is crucial in various industries, such as mining, chemical processing, and wastewater treatment, as it helps in determining the concentration of solids in the slurry.
Understanding the Components of a Slurry
To calculate the specific gravity of a slurry, it's essential to understand its components, including the solids and liquids. The solids in a slurry can be mineral particles, organic matter, or other substances, while the liquids are typically water or other solvents. The calculation involves determining the density of both the solids and the liquids separately and then combining them to find the overall density of the slurry.
- The density of the solids can be found using a pycnometer or by calculating the mass and volume of a known quantity of solids.
- The density of the liquids can be determined using a hydrometer or by looking up the density of the liquid in a reference table.
- The volume and mass of the slurry are then used to calculate its density and subsequently its specific gravity.
Determining the Density of the Slurry
The density of the slurry is a critical parameter in calculating its specific gravity. This can be done by measuring the mass and volume of a known quantity of the slurry. The density is then calculated by dividing the mass by the volume. It's also important to consider the temperature and pressure at which the density is measured, as these factors can affect the density of the slurry.
- Measure the mass of the slurry using a balance or scale.
- Measure the volume of the slurry using a graduated cylinder or by calculating the volume of the container it's in.
- Calculate the density by dividing the mass by the volume and take note of the temperature and pressure conditions.
Calculating Specific Gravity
The specific gravity of the slurry is calculated by dividing its density by the density of water at the same temperature and pressure. This calculation gives a ratio that represents how much denser the slurry is compared to water. The specific gravity is a dimensionless quantity and is useful for comparing the densities of different substances.
- Determine the density of water at the given temperature and pressure.
- Divide the density of the slurry by the density of water to get the specific gravity.
- Express the specific gravity as a ratio or a decimal value.
Applications of Specific Gravity in Slurry Processes
The specific gravity of a slurry has numerous applications in various industries. It's used to determine the concentration of solids in the slurry, which is crucial for process control and quality assurance. The specific gravity also helps in designing and operating slurry handling equipment, such as pumps and pipelines.
- The specific gravity is used to calculate the volume and mass of solids in a given volume of slurry.
- It's essential for designing and sizing slurry handling equipment to ensure efficient and safe operation.
- The specific gravity helps in predicting the behavior of the slurry under different flow conditions.
Challenges and Considerations in Measuring Specific Gravity
Measuring the specific gravity of a slurry can be challenging due to the complex nature of the mixture. The presence of air bubbles, sediment, and aggregate particles can affect the density and specific gravity measurements. It's also important to consider the temperature and pressure conditions, as well as the rheological properties of the slurry, when interpreting the results.
- The presence of air bubbles can cause errors in density measurements.
- The rheological properties of the slurry, such as viscosity and yield stress, can affect the flow behavior and density measurements.
- It's crucial to use calibrated equipment and follow standardized procedures to ensure accurate and reliable measurements.
How to calculate specific gravity of solids?

To calculate the specific gravity of solids, you need to understand the concept of density and how it relates to the weight and volume of the substance. The specific gravity of a solid is defined as the ratio of its density to the density of water at a reference temperature, typically 4°C. This value is used to determine the purity and composition of the solid.
Understanding Density and Specific Gravity
The density of a solid is its mass per unit volume, usually expressed in units of grams per cubic centimeter (g/cm³) or kilograms per cubic meter (kg/m³). To calculate the specific gravity of a solid, you need to know its density and the density of water. The density of water at 4°C is approximately 1 g/cm³. Here are the steps to calculate specific gravity:
- Measure the mass of the solid using a balance or scale.
- Measure the volume of the solid using a displacement method or a calibrated container.
- Calculate the density of the solid by dividing its mass by its volume.
Measuring Volume and Mass
To calculate the specific gravity of a solid, you need to accurately measure its volume and mass. The volume can be measured using a displacement method, where the solid is submerged in a liquid and the volume of the liquid displaced is equal to the volume of the solid. Alternatively, you can use a calibrated container to measure the !volume. The mass can be measured using a balance or scale. Here are some considerations:
- Use a balance or scale with high precision to measure the mass.
- Use a calibrated container or a displacement method to measure the volume.
- Take multiple measurements to ensure accuracy and reliability.
Calculating Specific Gravity
Once you have the density of the solid and the density of water, you can calculate the specific gravity using the following formula: specific gravity = density of solid / density of water. This value is a dimensionless quantity that can be used to compare the density of different solids. Here are some key points:
- The specific gravity is a dimensionless quantity.
- The specific gravity is used to compare the density of different solids.
- The specific gravity can be used to determine the purity and composition of the solid.
Applications of Specific Gravity
The specific gravity of solids has many practical applications in various fields, including engineering, geology, and materials science. It can be used to determine the purity and composition of solids, as well as their physical properties. Here are some examples:
- The specific gravity can be used to determine the purity of metals and minerals.
- The specific gravity can be used to determine the composition of rocks and soils.
- The specific gravity can be used to determine the physical properties of materials, such as their strength and stability.
Common Mistakes and Limitations
When calculating the specific gravity of solids, there are several common mistakes and limitations to consider. One common mistake is inaccurate measurement of the volume or mass of the solid. Another limitation is the assumption that the density of water is constant, when in fact it can vary depending on temperature and pressure. Here are some considerations:
- Use high-precision instruments to measure the volume and mass.
- Consider the effects of temperature and pressure on the density of water.
- Use reliable and accurate data to calculate the specific gravity.
What is the formula for the density of a slurry?

The formula for the density of a slurry is given by the equation: ρ = (m_s + m_l) / V, where ρ is the density of the slurry, m_s is the mass of the solids, m_l is the mass of the liquid, and V is the total volume of the slurry. This equation is used to calculate the density of a mixture of solids and liquids, which is essential in various industrial and engineering applications.
Understanding the Components of the Formula
The formula for the density of a slurry involves the mass of the solids and the liquids, as well as the total volume of the mixture. To calculate the density, it is essential to understand the components of the formula, including:
- The mass of the solids (m_s), which can be measured using a balance or other weighing device.
- The mass of the liquids (m_l), which can also be measured using a balance or other weighing device.
- The total volume of the slurry (V), which can be measured using a container or other volumetric device.
These components are crucial in determining the density of the slurry, which is a critical parameter in various industrial and engineering applications.
Calculating the Density of a Slurry
Calculating the density of a slurry involves plugging in the values of the mass of the solids, the mass of the liquids, and the total volume of the mixture into the formula. The resulting value is the density of the slurry, which can be expressed in units such as kilograms per cubic meter (kg/m³) or pounds per gallon (lb/gal). The density of the slurry can be used to determine various properties, such as the viscosity and fluidity, which are essential in designing and operating slurry handling systems.
- Measure the mass of the solids (m_s) and the mass of the liquids (m_l) using a balance or other weighing device.
- Measure the total volume of the slurry (V) using a container or other volumetric device.
- Plug in the values of m_s, m_l, and V into the formula to calculate the density of the slurry.
Importance of Density in Slurry Handling
The density of a slurry is a critical parameter in various industrial and engineering applications, including mining, chemical processing, and wastewater treatment. The density of the slurry affects the pumping and piping requirements, as well as the settling and separation of the solids and liquids. A accurate measurement of the density is essential to ensure efficient and safe handling of the slurry.
- The density of the slurry affects the pressure drop and flow rate in piping systems.
- The density of the slurry affects the settling and separation of the solids and liquids in thickeners and clarifiers.
- The density of the slurry affects the pumping requirements, including the power and energy consumption.
Factors Affecting the Density of a Slurry
The density of a slurry is affected by various factors, including the concentration of the solids, the viscosity of the liquids, and the temperature of the mixture. These factors can increase or decrease the density of the slurry, which can affect the handling and processing of the mixture.
- The concentration of the solids can increase the density of the slurry.
- The viscosity of the liquids can decrease the density of the slurry.
- The temperature of the mixture can affect the density of the slurry by expanding or contracting the liquids.
Measurement Techniques for Slurry Density
The density of a slurry can be measured using various techniques, including hydrometers, densitometers, and nuclear density gauges. These techniques provide accurate and reliable! measurements of the density of the slurry, which are essential in various industrial and engineering applications.
- Hydrometers measure the density of the slurry by floating or sinking in the mixture.
- Densitometers measure the density of the slurry by measuring the vibration or resonance of a probe.
- Nuclear density gauges measure the density of the slurry by measuring the attenuation of gamma radiation.
What is the specific gravity of pulp slurry?

The specific gravity of pulp slurry can vary depending on the type of pulp and the amount of water present in the mixture. Generally, the specific gravity of pulp slurry ranges from 1.0 to 1.5, with an average value of around 1.2. This value can be influenced by factors such as the density of the pulp fibers, the concentration of the slurry, and the presence of any additives or impurities.
Definition of Specific Gravity
The specific gravity of a substance is defined as the ratio of its density to the density of water at a given temperature and pressure. In the context of pulp slurry, the specific gravity is an important parameter that can affect the behavior and processing of the slurry. For example, a higher specific gravity can indicate a more concentrated slurry, which can impact the pumping and mixing requirements. Some key factors that influence the specific gravity of pulp slurry include:
- Pulp type: Different types of pulp, such as wood pulp or non-wood pulp, can have varying densities and specific gravities.
- Water content: The amount of water present in the slurry can significantly impact the specific gravity, with higher water content resulting in a lower specific gravity.
- Additives and impurities: The presence of additives or impurities can alter the density and specific gravity of the pulp slurry.
Factors Affecting Specific Gravity
Several factors can influence the specific gravity of pulp slurry, including the pulp concentration, temperature, and pressure. For example, an increase in temperature can cause the density of the slurry to decrease, resulting in a lower specific gravity. Additionally, the presence of air bubbles or gas bubbles can also affect the specific gravity of the slurry. Some key factors that can impact the specific gravity of pulp slurry include:
- Pulp consistency: The consistency of the pulp can impact the specific gravity, with more concentrated pulps having a higher specific gravity.
- Water quality: The quality of the water used to prepare the slurry can also influence the specific gravity, with impurities or additives affecting the density and behavior of the slurry.
- Slurry age: The age of the slurry can also impact the specific gravity, with older slurries potentially having a lower specific gravity due to settling or sedimentation.
Measurement of Specific Gravity
The specific gravity of pulp slurry can be measured using various techniques, including density meters or hydrometers. These devices measure the density of the slurry and calculate the specific gravity based on the density of water. Alternatively, the specific gravity can be estimated using empirical correlations or models that take into account the pulp type, water content, and other factors. Some common methods for measuring specific gravity include:
- Density meter: A density meter can be used to directly measure the density of the slurry and calculate the specific gravity.
- Hydrometer: A hydrometer can be used to measure the density of the slurry by measuring the buoyancy of a float in the slurry.
- Correlation models: Empirical correlations or models can be used to estimate the specific gravity based on the pulp type, water content, and other factors.
Importance of Specific Gravity
The specific gravity of pulp slurry is an important parameter that can impact various aspects of pulp processing, including pumping, mixing, and separation. For example, a higher specific gravity can indicate a more concentrated slurry, which can affect the energy requirements for pumping and mixing. Additionally, the specific gravity can also impact the settling and sedimentation behavior of the slurry, which can affect the efficiency of separation processes. Some key reasons why specific gravity is important include:
- Pumping and mixing: The specific gravity can impact the energy requirements for pumping and mixing the slurry.
- Separation efficiency: The specific gravity can affect the settling and sedimentation behavior of the slurry, impacting the efficiency of separation processes.
- Slurry behavior: The specific gravity can influence the behavior of the slurry, including its viscosity, rheology, and stability.
Applications of Specific Gravity
The specific gravity of pulp slurry has various applications in pulp processing, including quality control, process optimization, and troubleshooting. For example, measuring the specific gravity of the slurry can help operators to monitor the consistency and quality of the pulp, and make adjustments to the processing conditions to achieve the desired properties. Some key applications of specific gravity include:
- Quality control: Measuring the specific gravity can help operators to monitor the consistency and quality of the pulp.
- Process optimization: The specific gravity can be used to optimize processing conditions, such as pumping and mixing requirements.
- Troubleshooting: The specific gravity can be used to diagnose problems with the slurry, such as settling or sedimentation issues.
Frequently Asked Questions (FAQs)
What is the Specific Gravity for a Solids Slurry Formulae and Calculator?
The Specific Gravity for a Solids Slurry is a crucial parameter in various industrial applications, including mining, construction, and wastewater treatment. It is defined as the ratio of the density of the slurry to the density of water. The formula to calculate the specific gravity of a solids slurry is: Specific Gravity = (Density of Slurry) / (Density of Water). This calculator can be used to determine the specific gravity of a slurry given its density and the density of water. The specific gravity is an important factor in determining the behaviour of the slurry, including its viscosity, settling rate, and pumping requirements. By using the Specific Gravity for a Solids Slurry Formulae and Calculator, engineers and scientists can design and optimize systems that handle slurries, ensuring efficient and safe operation.
How to Calculate the Specific Gravity of a Solids Slurry using the Formulae and Calculator?
To calculate the specific gravity of a solids slurry, you need to know the density of the slurry and the density of water. The density of the slurry can be measured using a hydrometer or a densitometer, while the density of water is typically assumed to be 1 gram per cubic centimeter (g/cm³) at standard conditions. Once you have these values, you can plug them into the formula: Specific Gravity = (Density of Slurry) / (Density of Water). The calculator can then be used to perform the calculation, providing the specific gravity of the slurry. It is essential to use accurate values for the density of the slurry and water to obtain a reliable specific gravity value. Additionally, the temperature and pressure of the slurry can affect its density, so these factors should be taken into account when making the calculation. By using the Specific Gravity for a Solids Slurry Formulae and Calculator, you can quickly and accurately determine the specific gravity of a slurry.
What are the Applications of the Specific Gravity for a Solids Slurry Formulae and Calculator?
The Specific Gravity for a Solids Slurry Formulae and Calculator has numerous applications in various industries, including mining, construction, and wastewater treatment. In mining, the specific gravity of a slurry is used to determine the concentration of solids in the slurry, which is critical for mineral processing and metallurgy. In construction, the specific gravity of a slurry is used to design and optimize concrete mixes, ensuring that they have the required strength and durability. In wastewater treatment, the specific gravity of a slurry is used to determine the amount of solids in the wastewater, which is essential for designing and operating wastewater treatment plants. The calculator can also be used in research and development applications, such as studying the behaviour of complex slurries and optimizing their properties. By using the Specific Gravity for a Solids Slurry Formulae and Calculator, engineers and scientists can make informed decisions and optimize systems that handle slurries.
What are the Limitations and Assumptions of the Specific Gravity for a Solids Slurry Formulae and Calculator?
The Specific Gravity for a Solids Slurry Formulae and Calculator is based on several assumptions and has some limitations. One of the main assumptions is that the slurry is a homogeneous mixture of solids and water, which may not always be the case in practical applications. Additionally, the calculator assumes that the density of the solids and water are constant, which may not be true if the temperature or pressure of the slurry changes. The calculator also assumes that the slurry is a Newtonian fluid, which means that its viscosity is constant and independent of the shear rate. However, many slurries exhibit non-Newtonian behaviour, which can affect their flow and settling characteristics. Furthermore, the calculator does not take into account the size and shape of the solids, which can affect the settling rate and viscosity of the slurry. By understanding these limitations and assumptions, engineers and scientists can use the Specific Gravity for a Solids Slurry Formulae and Calculator in a more informed and effective way.
Deja una respuesta

Entradas Relacionadas